Influence du profil force-vitesse et de la puissance maximale sur la performance balistique
Les mouvements balistiques sont considรฉrรฉs comme des mouvements trรจs rapides ayant pour objectif d’accรฉlerer le plus possible une masse en mouvement afin qu’elle atteigne une vitesse importante dans un laps de temps trรจs bref. C’est le cas du lancer de poids ou du saut vertical, par exemple. Afin de sauter le plus haut possible, il est primordial que le centre de gravitรฉ du corps possรจde la vitesse la plus รฉlevรฉe au moment oรน les pieds quittent le sol.
Mรฉcaniquement, cela s’exprime par une impulsion importante. Cependant, la gรฉnรฉration de l’impulsion n’est pas considรฉrรฉe comme une propriรฉtรฉ mรฉcanique du systรจme neuromusculaire. Or, une forte impulsion est dรฉpendante des capacitรฉs de production de puissance des groupes musculaires impliquรฉs dans le mouvement. C’est pourquoi l’intรฉrรชt pour la puissance musculaire est si fort dans de nombreuses activitรฉs physiques et sportives. Mais encore aujourd’hui, la stratรฉgie optimale pour dรฉvelopper la puissance maximale est source de dรฉbats : charge รฉlevรฉe et faible vitesse ou charge faible et vitesse รฉlevรฉe…
Les capacitรฉs mรฉcaniques du systรจme neuromusculaire peuvent รชtre dรฉcrites par la relation linรฉaire “Force-Vitesse” et la relation parabolique “Puissance-Vitesse”. Trois valeurs principales doivent รชtre retenues : la force maximale thรฉorique (F0, en N) qui reprรฉsente la force dรฉveloppรฉe lorsque la vitesse est nulle, la vitesse maximale thรฉorique (v0, en mยทs-1) qui reprรฉsente la vitesse lorsque les rรฉsistances sont nulles, et la puissance maximale produite (PMAX, en W). Ces paramรจtres sont illustrรฉs dans les Figures 2 et 3 et seront dรฉtaillรฉs dans un dossier ร venir sur la puissance musculaire.
Deux athlรจtes possรฉdant la mรชme puissance maximale peuvent trรจs bien prรฉsentรฉs des profils Force-Vitesse diffรฉrents. C’est-ร -dire que les valeurs de F0 et v0 ne seront pas les mรชmes. Ainsi un athlรจte plutรดt orientรฉ “force” pourra produire une puissance maximale identique ร un athlรจte plutรดt orientรฉ “vitesse”. Dans ce cas, la performance balistique (e.g., sauter haut) est-elle influencรฉe par la puissance maximale ou par le profil Force-Vitesse de l’athlรจte ?
L’รฉtude rรฉalisรฉe
Pour tenter de rรฉpondre ร cette question, une รฉquipe de chercheurs franรงais et italiens a รฉtudiรฉ les profils de force-vitesse et de puissance-vitesse lors de sauts chez des athlรจtes provenant de diffรฉrentes disciplines (rugby, football, basketball). ร partir de ces profils, l’objectif รฉtait de valider un modรจle mathรฉmatique grรขce auquel les chercheurs pourraient รฉtudier thรฉoriquement l’influence du profil force-vitesse et de la puissance sur la performance balistique. Ainsi, 14 sportifs dont 8 rugbymen (et parmi eux, 4 joueurs en 1รจre ligue Italienne) ont participรฉ ร cette รฉtude. Tous les athlรจtes devaient rรฉaliser deux types d’efforts sur un ergomรจtre permettant de rรฉaliser des efforts concentriques explosifs :
- Des sauts horizontaux (Vidรฉo 1) (ฮฑ = 0ยฐ) ร des charges correspondant ร 0, 40, 80, 120, 160, 200 et 240% de leur poids. Ces sauts ont permis d’รฉtablir les profils force-vitesse et puissance-vitesse de chaque athlรจte.
- Des sauts avec inclinaison (Vidรฉo 2) ร 10, 20 et 30ยฐ d’inclinaison avec une charge รฉquivalente ร 0% de leur poids. Ces sauts ont รฉtรฉ utiles ร valider le modรจle mathรฉmatique.
- La force dรฉveloppรฉe รฉtait mesurรฉe grรขce ร deux plateformes de force positionnรฉes sous chaque pied, et la vitesse grรขce ร un tachymรจtre.
Le modรจle mathรฉmatique testรฉ
Le profil mรฉcanique de force-vitesse des membres infรฉrieurs (SFv, en Nยทsยทm-1ยทkg-1) peut รชtre exprimรฉ par le ratio entre F0 et v0 qui reprรฉsente la pente de la reprรฉsentation graphique de cette relation (Fig. 2). Plus SFv sera petit plus le profil de l’athlรจte sera orientรฉ vers la force :
S_{Fv}=-\frac{F_0}{v_0}Les auteurs de cette รฉtude ont ensuite introduit cette รฉquation du profil force-vitesse dans une expression mathรฉmatique qui permet de dรฉterminer la vitesse maximale du centre de gravitรฉ du corps au moment oรน les pieds quittent le sol lors d’un saut (vTOMAX). C’est une valeur thรฉorique qui tient compte des capacitรฉs de force et de vitesse des membres infรฉrieurs d’un athlรจte. Ils ont ainsi obtenu un modรจle mathรฉmatique qui s’exprime en fonction de F0, v0, PMAX, l’accรฉlรฉration gravitationnelle (g, en mยทs-2), de l’angle de poussรฉe par rapport ร l’horizontal (ฮฑ, en ยฐ) et de la distance parcourure par le centre de gravitรฉ lors de la poussรฉe (hPO, en m) :
v_{TO_{MAX}}=h_{PO} \left[ \sqrt{\frac{{S_{Fv}}^2}{4}+\frac{2}{h_{PO}}(2\sqrt{-P_{MAX}\times S_{Fv}}-g\sin \alpha)}+\frac{S_{Fv}}{2}\right]Pour valider cette รฉquation, les auteurs ont alors comparรฉ statistiquement la vitesse maximale au dรฉcollage obtenue lors des sauts avec inclinaison et la vitesse maximale au dรฉcollage thรฉorique obtenue avec les mรชmes paramรจtres.
La simulation thรฉorique
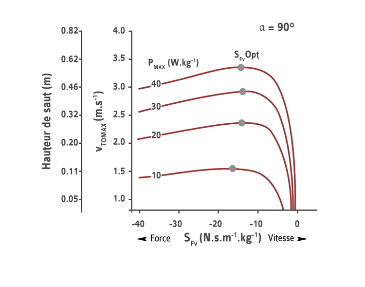
L’influence relative de PMAX et de SFv sur vTOMAX, et donc la performance balistique, a รฉtรฉ analysรฉe grรขce ร l’รฉquation ci-dessus. Pour cela, les chercheurs ont utilisรฉ des valeurs de PMAX allant de 10 ร 40 Wยทkg-1, des valeurs de SFv allant de 0 ร -40 Nยทsยทm-1ยทkg-1 pour diffรฉrentes inclinaisons et hPO รฉtait considรฉrรฉ comme invariant et รฉgal ร 0.4m.
Rรฉsultats & Analyses
Concernant la validation du modรจle mathรฉmatique, les rรฉsultats montrent que la diffรฉrence entre les rรฉsultats obtenus par expรฉrimentation et ceux obtenus grรขce ร l’รฉquation mathรฉmatique est faible (4.4 – 6.6 %). Cela signifie que l’รฉquation permettant de calculer vTOMAX est valide pour dรฉterminer la vitesse maximale au dรฉcollage lors de sauts, quelque soit l’angle de poussรฉe.

D’aprรจs les rรฉsultats obtenus lors de la simulation thรฉorique, lors des poussรฉes, la vitesse maximale au dรฉcollage des pieds, et donc, la performance balistique est plus influencรฉe par la puissance maximale que par le profil force-vitesse (Fig. 4). Cela dรฉmontre que lors du saut, la capacitรฉ ร dรฉvelopper une impulsion importante dans le but de maximiser la vitesse au dรฉcollage est fortement liรฉe ร la production maximale de puissance des membres infรฉrieurs. Cependant, comme prรฉcisรฉ au dรฉbut de cet article, deux athlรจtes produisant la mรชme puissance maximale peuvent prรฉsenter deux profils musculaires (SFv) diffรฉrents. Ainsi, pour chaque athlรจte, il existe un profil force-vitesse optimal (SFvOpt) qui maximise la performance. Or, plus le profil force-vitesse diffรจre de ce profil optimal, plus la performance sera faible en comparaison ร celle qui pourrait รชtre atteinte.
Cela signifie qu’un athlรจte prรฉsentant un profil force-vitesse diffรฉrent de SFvOpt sur un mouvement donnรฉ devra travailler soit en force, si son profil est plus orientรฉ vers la vitesse, soit en vitesse, si son profil est plus orientรฉ vers la force. En procรฉdant de la sorte, il est fort probable d’amรฉliorer la puissance maximale et ainsi la performance balistique.
Applications pratiques
Pour sauter haut, ce n’est donc ni la force, ni la vitesse mais une combinaison optimale de ces deux paramรจtres qu’il faut privilรฉgier. La puissance maximale est fortement liรฉe ร la hauteur de saut, mais pour optimiser cette puissance, il est nรฉcessaire pour l’athlรจte de possรฉder un profil force-vitesse le plus proche possible de son profil optimal. Ce profil optimal dรฉpend du mouvement, de chaque athlรจte et de la charge ร dรฉplacer. Pour le dรฉterminer, les รฉvaluations des relations force-vitesse et puissance-vitesse sont nรฉcessaires. Elles permettront un meilleur suivi des athlรจtes et une meilleure orientation de leur travail musculaire en fonction des points “faibles” ร travailler pour maximiser la performance balistique.
Rรฉfรฉrence
Samozino P, Rejc E, di Prampero PE, Belli A and Morin J-B. Optimal force-velocity profile in ballistic movements. Altius: citius or fortius ? Med Sci Sports Exerc 44 (2) : 313-322, 2012.

